TOPCon电池金属化降银策略:无铝银浆与背面铜浆替代的方案
近年来,随着光伏产能向太瓦级快速扩张,银浆消耗已成为制约行业可持续发展的关键瓶颈。2023年,光伏银耗已占全球总需求的16.2%,而当前主流的TOPCon等高效电池技术因采用双面银栅结构,进一步推高了银耗压力。若不突破现有材料体系,未来光伏产业的规模化发展将面临银资源供应的根本性约束。美能TLM接触电阻测试仪是专用于太阳能电池电极优化中关键电学参数提取的高精度分析设备,具备接触电阻率与栅线电阻双重测试功能。为TOPCon电池等高效结构的电极材料优化与工艺改进提供可靠的量化依据。
本研究提出一种面向产业化的TOPCon电池降银金属化方案。通过采用无铝纯银浆替代含铝银浆,优化正面接触工艺以降低耗量并提升电性能;同时在背面创新引入“银接触层+铜导电层”的叠印结构,利用铜浆承担主要导电功能。实验表明,该方案可在维持电池效率的前提下,将银耗从约15 mg/Wp显著降低至9 mg/Wp以下,降幅达40%,为行业提供了一条兼具技术可行性与经济性的可持续发展路径。
技术路线:正背面差异化降银策略
正面与背面均采用降银设计的Cu-TOPCon电池截面示意图
两个实验的印刷工艺流程与TOPCon参比工艺对比
本研究采用分步验证方法,最终目标为同一电池集成正背面降银方案:
正面策略:采用无铝纯银浆替代工业标准含铝银浆,利用其更高电导率实现耗量降低。通过“先细栅后汇流条”的分步印刷工艺,在无汇流条条件下完成高温烧结形成优质硼接触,后续汇流条采用低温铜浆印刷。
背面策略:创新性采用“叠印”结构:先印刷超薄银层确保与n+多晶硅的欧姆接触,再覆盖铜浆层承担主要导电功能。铜浆采用Copprint纳米铜浆,可在300°C快速固化,其宽粒径分布与抗氧化配方确保良好导电性与工艺稳定性。
实验结果与分析
浆料耗量、提取的电阻值及有效体电阻率
使用两种不同正面浆料印刷的TOPCon太阳电池IV参数对比:参比含铝银浆与新型无铝银浆
两种正面浆料所印刷细栅的激光扫描显微镜图像(a)为参比含铝银浆印刷细栅的光学显微图像(b)为其对应的高度分布热力图。(c)和(d)分别为新型无铝银浆印刷细栅的光学图像与高度分布图
第二实验中各印刷步骤的湿浆料耗量
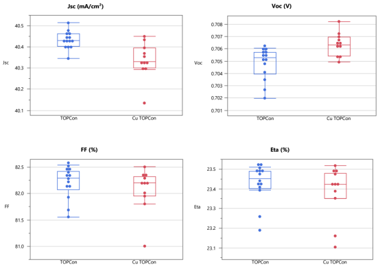
针对背面降银的第二组实验所制备太阳电池的IV参数
正面实验显示,无铝银浆在耗量降低40%的情况下,仍保持与参比电池相当的串联电阻。虽然细栅形貌更宽更矮导致短路电流微降,但开路电压和填充因子的提升证实了金属诱导复合的降低。特别是比接触电阻从1.8 mΩ·cm²降至1.3 mΩ·cm²,有效体电阻率降低32%,表明银的利用效率显著提高。
背面实验中,铜浆叠印结构电池展现出与全银参比电池相同的效率水平。尽管由于光学损失导致短路电流略有下降,但减少的金属接触面积带来了开路电压的增益。关键的是,填充因子完全保持,证明铜浆导电性能足以替代银浆功能。实验虽未优化耗量,但银用量已减少三分之二以上。
产业化潜力评估
基于实验结果推算,M10尺寸TOPCon电池的银浆总耗量可从当前约125 mg/片降至73 mg/片,其中:
正面:从60 mg降至45 mg(无铝银细栅)
背面:从65 mg降至≤28 mg(银接触层+铜主栅)
对应24.5%效率下,银耗将从15 mg/Wp降至9 mg/Wp。需新增铜浆94-132 mg/片及一道固化工序,但在当前银价趋势下具备显著经济优势。该方案兼容现有丝网印刷产线,无需重大设备改造,具备快速导入潜力。
本研究通过正背面差异化金属化设计,系统性论证了TOPCon电池降银的可行性。无铝银浆在正面应用可提升电学性能的同时降低耗量,铜浆叠印结构在背面实现功能性替代。两者结合有望推动TOPCon电池银耗突破10 mg/Wp关口,为太瓦级光伏时代的材料可持续性提供关键技术支撑。未来工作将聚焦于细栅形貌优化、铜浆可靠性验证以及正背面工艺集成测试。
美能TLM接触电阻测试仪
联系电话:400 008 6690
美能TLM接触电阻测试仪所具备接触电阻率测试功能,可实现快速、灵活、精准检测。
静态测试重复性≤1%,动态测试重复性≤3%
u 线电阻测量精度可达5%或0.1Ω/cm
u 接触电阻率测试与线电阻测试随意切换
u 定制多种探测头进行测量和分析
通过美能TLM接触电阻测试仪提供了精准的比接触电阻率数据与金属-半导体界面电学特性系统性评估,为论证无铝银浆在降低接触电阻、提升金属化效率方面的优势提供了关键实验依据,并支撑了铜浆叠印结构中薄银接触层设计的可行性结论,从而为TOPCon电池实现低银耗、高效率的金属化方案奠定了可靠的数据基础。
原文参考:TOPCon Solar Cells With Al-Free Ag and Cu Metallization