PECVD硼发射极与poly-Si钝化接触共退火,实现高效TOPCon电池
TOPCon电池凭借背面超薄SiOₓ/多晶硅叠层的优异钝化性能,成为n型硅电池主流工艺。然而传统硼扩散工艺成本较高。本研究提出创新解决方案:PECVD单侧沉积+同步退火集成工艺,正面:PECVD沉积硼掺杂氧化硅(SiOₓ:B)层;背面:N₂O等离子体处理的n型多晶硅(poly-Si(n));单步共退火同步形成双面结构,消除BSG清洗步骤。美能PL/EL一体机测试仪为钝化层界面质量验证和损伤位置定位提供支持。
实验证实,该方法在降低制造成本的同时,可实现21%的转换效率,通过LECO优化与深结设计,效率潜力达25%,提供高性价比升级路径。
实验方法
(a) 太阳能电池工艺流程示意图;(b) 硼发射极开发所用样品结构;(c) 多晶硅钝化接触开发所用样品结构
样品制备
基底:4英寸n型直拉单晶硅(FZ, 〈100〉, 2 Ω·cm)
关键工艺:
硼发射极:
HNO₃热氧化(80°C, 10 min, 1.2 nm)→ PECVD沉积SiOₓ:B(SiH₄/CO₂/TMB/H₂)
退火(850–950°C, 30–60 min)→ 氢氟酸溶液湿法蚀刻残留SiOₓ:B
背面接触:
N₂O等离子体生长隧穿氧化层(1.3 nm)→ PECVD沉积磷掺杂多晶硅(poly-Si(n), 含2–3% C)
管式炉退火(900°C)→ PECVD沉积氢化氮化硅(SiNₓ:H)
电池集成:
同步退火(900°C, 1 h)→ 正面原子层沉积氧化铝(AlOₓ) → 丝网印刷银铝(Ag/Al)栅线 → 背面气相氢氟酸(vapor HF)蚀刻+ITO/Ag溅射
表征技术:

硼发射极形成
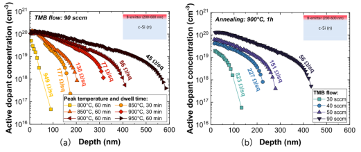
ECV测量:(a)不同退火温度和驻留时间下的硼扩散剖面(b)不同TMB流量下退火后的硼扩散剖面
利用PECVD技术在硅片正表面沉积硼掺杂SiOₓ(SiH₄/CO₂/H₂/TMB)作为扩散源。
通过调控TMB流量和退火参数,实现峰值浓度(3×10¹⁹–1×10²⁰ cm⁻³)和结深(100–600 nm)的精密调节。
优化后的发射极(TMB = 50 sccm)结合AlOₓ/SiNₓ叠层钝化,在传统丝印AgAl烧结后实现ρc < 5 mΩ cm²。
高温稳定的背钝化接触
对称SiOₓ/多晶硅样品在两种氧化策略下开路电压随热预算的变化
多晶硅(n)对称样品经N₂O处理并在900°C退火1小时后氢化(左)及金属化TLM结构(右)后的光致发光PL图像
传统UV-O₃氧化隧穿层的n-poly-Si钝化接触在实现发射极所需的高温(900°C,>30min)下钝化性能(iVoc)急剧下降。
创新性引入N₂O等离子体后处理,显著提升界面稳定性:
在900℃/60min严苛退火后,实现优异表面钝化(iVoc ≈ 720 mV);
搭配溅射ITO/Ag方案,接触电阻率低至22 mΩ cm²;
PL下显示良好的均匀性和界面质量。
共退火原型电池集成与性能
TOPCon太阳能电池的Voc、Jsc、FF和PCE参数
首次将共退火工艺整合应用到TOPCon电池原型中,在未进行接触优化(LECO)的情况下实现了21%的转换效率(PCE),为简化的共退火工艺提供了有力概念验证。
最佳性能:20.99% PCE (TMB 50 sccm, 峰值烧结温度840°C),对应Voc=669 mV, Jsc=40.5 mA/cm², FF=78%。
Voc损失的来源随发射极掺杂(TMB流量)和峰值烧结温度的变化
金属诱导复合(尤其浅发射极)、高掺杂浓度奥杰复合及体寿命缺陷是Voc损失主因;发射极薄层电阻和串联电阻导致FF损失。
应用不同策略后的太阳能电池效率提升模拟结果
通过降低峰值掺杂浓度、激光增强接触优化(LECO)、细线金属栅设计及CZ硅片应用,模拟效率可提升至25%。
本研究提出一种单步共退火工艺,通过等离子体增强化学气相沉积(PECVD)同时形成TOPCon电池的前端硼发射极和后端多晶硅钝化接触,替代传统两步骤工艺,验证了21%转换效率的原型电池并分析了优化路径。

联系电话:400 008 6690
美能PL/EL一体机测试仪模拟太阳光照射钙钛矿太阳能电池片,均匀照亮整个样品,并用专业的镜头采集光致发光(PL)信号,获得PL成像;电致发光(EL)信号,获得EL成像。通过图像算法和软件对捕获的PL/EL成像进行处理和分析,并识别出PL/EL缺陷,根据其特征进行分析、分类、归纳等。
✔ EL/PL成像,500万像素,实现多种成像精度切换
✔ 光谱响应范围:400nm~1200nm
✔ PL光源:蓝光(可定制光源尺寸、波长等)
✔ 多种缺陷识别分析(麻点、发暗、边缘入侵等)可定制缺陷种类
美能PL/EL一体机测试仪对钝化层均匀性及金属诱导缺陷进行高精度分析——其500万像素双模成像(PL/EL)、400–1200 nm宽光谱响应及智能缺陷识别(麻点/边缘入侵等),为电池工艺优化提供核心数据支撑,加速产业化应用。
原文参考:Co-annealing of PECVD boron emitters and poly-Si passivating contacts for leaner TOPCon solar cell fabrication