静态与动态载荷下具有粘弹性密封剂光伏组件的力学特性分析
对光伏组件和建筑集成光伏系统均需要进行机械性能评估,这一评估是确保这些系统长期功能性和优化商业产品的关键步骤。通过机械加载(ML)、非均匀机械加载(IML)和动态机械加载(DML)等方式进行性能测试,以验证光伏组件在外部机械载荷下的性能,确保组件不受视觉损坏和电气功能严重损失。「美能动态机械载荷测试仪」84通道压力传感器控制,每个气缸单独控制;吸盘间距可调,万向结构,保障组件表面受力均匀,高精度可编程直流电源监控组件内部电流连续性。
光伏组件机械性能评估的方法
进行机械加载和非均匀机械加载的参考布置
这些测试是为了验证光伏模块在受到如雪、风或冰雹等外部机械负载时的性能和耐用性。
光伏组件在设计和认证过程中需要经过严格的机械测试,以确保它们能够在各种环境条件下稳定运行,并且保持其发电效率。这些测试对于提高光伏模块的市场竞争力和消费者信心至关重要。
单层玻璃光伏模块的夹层结构的机械分析

光伏组件的机械分析示意图
(a)展示了一个典型的光伏模块,其四个边缘都受到简单支撑。在这种设置下,光伏组件被视为一个简支板,其上施加了均匀分布载荷。
这种边界条件模拟了光伏组件在实际应用中可能遇到的均匀载荷情况,例如雪载或风载。
(b)展示了在边界条件和载荷作用下,光伏组件截面内的应力分布情况。由于载荷的均匀分布,截面内的应力分布呈现出经典的双三角分布形态。
封装材料的粘弹性特性

粘弹性封装材料的力学行为及其对光伏(PV)模块机械响应的影响
EVA中间层的典型松弛模量与时间关系:
松弛模量是描述材料在长时间受力作用下应力放松程度的指标,对于粘弹性材料如EVA来说,这个参数会随时间发生变化。
光伏组件的平面外弯曲响应示意图:
在整体式极限中,封装材料提供了完全的剪切粘结,使得PV模块表现出更高的刚度和承载能力。
在分层极限中,封装材料的剪切粘结较弱,导致光伏组件的刚度和承载能力降低。
典型的商业单层玻璃光伏组件结构

商用光伏组件的详细视图
光伏组件的三维结构,包括玻璃盖板、EVA封装层和背板的相对位置和厚度。
从截面图中可以观察到玻璃盖板、EVA封装层和背板的厚度,以及它们之间的相互关系。

被检测光伏组件的参考几何和机械性能
材料属性:玻璃盖板具有较高的弹性模量(70 GPa)和密度(2490 kg/m³),表明其具有较高的刚度和重量。EVA封装层的弹性模量(0.005 GPa)和密度(950 kg/m³)较低,表明其具有一定的柔性。Tedlar背板的弹性模量(25 GPa)和密度(1000 kg/m³)介于玻璃和EVA之间。
结构设计:玻璃盖板的厚度(3.2 mm)和Tedlar背板的厚度(1 mm)对于模块的机械强度和刚度至关重要。EVA层(1 mm)作为封装材料,不仅保护太阳能电池,还提供一定的机械支撑。
机械分析:在进行机械分析时,金属框架被视为刚性支撑,沿组件的四个边缘提供线性支撑。
光伏组件复合截面的结构分析
封装胶的刚度和剪切耦合

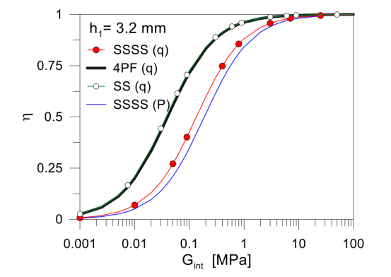
剪切耦合参数η随封装材料剪切刚度Gint变化的趋势
η参数代表了封装材料(EVA)的剪切粘结效率,η的值介于0(无粘结,即分层极限)和1(完全粘结,即整体式极限)之间。
随着Gint的增加,η参数从接近0迅速增加到接近1,这表明即使是剪切刚度的小幅增加,也能显著提高光伏组件的剪切粘结效率。
封装胶的刚度和机械性能

封装材料刚度对光伏组件静态性能的影响
当Gint增加,即封装材料的剪切刚度提高时,玻璃盖板和背板中的应力峰值会重新分布,趋向于更加平衡的状态。
一个刚性的剪切粘结(较高的Gint)可以显著减少挠度,这有助于满足玻璃的极限变形要求。
通过调整Gint,可以在提高承载能力和减少挠度之间找到平衡,从而提高PV模块的结构效率和可靠性。
最小剪粘结合效率检测

组件在静态机械载荷下所需的最小剪切粘结效率
随着施加的均匀压力的增加,所需的最小剪切粘结效率η的变化趋势,通常情况下,随着外部载荷的增加,为了维持模块的机械稳定性,需要更高的剪切粘结效率。
不同Gint值对应的剪切耦合效率η,并指出了满足特定挠度限制所需的最低η值。这有助于确定在特定操作条件下,封装材料需要保持的最低剪切刚度,以确保PV模块不会因过度挠曲而损坏。
光伏组件静态响应随封装材料刚度的变化

光伏组件静态响应的力学分析
玻璃盖和背板应力:在不同玻璃厚度下,随着封装材料刚度Gint的变化,玻璃盖和背板的应力峰值呈现出不同的变化趋势。当Gint较小时,玻璃盖承受大部分载荷,应力峰值较大;随着Gint增加,应力分布更均衡,玻璃盖应力峰值降低,背板应力峰值也相应变化。
最小剪切键效率要求:为保证光伏组件在静态载荷下的性能,满足挠度限制,不同玻璃厚度和载荷情况下对最小剪切键效率有不同要求。
光伏组件动态弯曲刚度的影响

基本振动频随封装材料剪切刚度的变化
随着Gint变化,f1在两个极限值之间变动,频率范围明确,如在 “整体” 和 “分层” 配置下振动频率有显著差异,过渡过程中频率降低可达-60%。
动态机械载荷使粘弹性封装响应更刚硬,时间加载越短、剪切键越刚硬,光伏组件弯曲响应越趋向 “整体” 界限。此时玻璃盖受益于更显著的复合作用,内部应力分布更均匀,最大挠度因弯曲刚度增加而降低,整体性能得到优化,更有利于承受动态载荷,减少因振动和冲击可能导致的损坏风险。
机械边界与载荷分布

不同加载和边界条件下光伏组件的剪切粘结效率
η随Gint变化呈现出一定规律,在Gint较低时,η值较小,随着Gint增加,η逐渐增大。
较高的η值通常意味着更好的复合作用,使得各层材料能更有效地协同工作,减少玻璃盖和背板在承受载荷时的应力集中,有利于控制整体挠度,防止微裂纹产生,保护太阳能电池等电气组件的功能;反之,较低的η值可能导致复合作用减弱,应力分布不均,增加挠度,对系统性能产生不利影响。
在光伏组件的设计中需要考虑静态和动态机械载荷的性能测试,封装材料在其中也所起着关键作用。通过对这些载荷的深入分析,可以提高光伏组件的长期稳定性和效率,确保在各种环境条件下都能保持高效的性能输出。
美能动态机械载荷测试仪

联系电话:400 008 6690
「美能动态机械载荷测试仪」ME-PV-DML 84通道压力传感器控制,每个气缸单独控制;吸盘间距可调,万向结构,保障组件表面受力均匀,高精度可编程直流电源监控组件内部电流连续性。
n 载荷施加方式:气缸带动吸盘压合吸;
n 可安装多达84(12*7)个气缸,每个气缸单独控制;
n 测试系统压力,拉力,保持时间,循环测试,循环频率,电流大小可以预先设定;
n 测试系统可记录和存储测试过程中的正向压强,反向压强,形变,温度,循环次数,电流值。
美能动态机械载荷测试仪提供了一种高效、精确的解决方案,用于模拟光伏组件在实际环境中可能遇到的各种静态和动态载荷情况。通过该设备,研究人员和工程师能够模拟复杂的加载条件,包括不同幅度和频率的循环加载。这使得测试结果更加符合实际应用场景,从而为光伏组件的设计和材料选择提供了有力的数据支持。
原文出处:Mechanical Analysis of the Quasi-Static and Dynamic Composite Action in PV Modules with Viscoelastic Encapsulant;https://doi.org/10.3390/ma17061317