销售热线:400-008-6690
销售热线:400-008-6690
光伏电池片测试 光伏电池组件测试 实证基地 电站运维测试 产品中心 新闻与活动

紫外线诱导降解(UVID)对TOPCon光伏组件的影响

TOPCon光伏组件随着技术的成熟和成本的降低,在全球范围内得到了迅速的推广和应用。然而,由于电池对紫外线辐射的敏感性增加,TOPCon技术容易受到紫外线诱导降解(UVID)的影响,这对组件的性能、寿命和保修均产生了影响。美能紫外老化试验箱,可通过模拟不同光照情况来监控组件在光照下产生的变化,可用于光伏组件产品开发和质量把控或评估组件组成后耐用性的变化试验。

image.png 

可再生能源测试中心(RETC)2024年发布的组件报告中指出,n-TOPCon电池组件中UVID(紫外线诱导衰减)风险呈上升态势RETC表示,部分新型电池技术(其中最为明显的当属 n-TOPCon)似乎较为容易受到UVID的影响。在测试的模型中,有40%达到了UVID高标准,这意味着衰减率低于2%。由此可见,UVID极有可能成为目前面临的主要可靠性问题



UVID诱导降解模式

image.png 

UVID诱导降解模式

SiNx/Si界面的复合:UV 光子能量>3.5eV(λ<360nm)时,会打破SiNx/Si界面的Si - H键。通过产生悬挂键,降低了钝化质量,从而增加了发射极饱和电流并降低了载流子寿命。

硅体复合:UV会导致载流子注入,改变杂质电荷状态(和迁移率),并且在转移过程中结合形成体缺陷中心。这种体缺陷中心的形成会进一步影响电池的性能和稳定性。

热载流子效应:产生热电子(具有高迁移率和高动能),当热电子超过界面势垒时,会损坏钝化层并增加界面态密度。这一效应也对电池的钝化层等关键结构造成破坏,进而影响电池的整体性能。

 



UVID 测试过程及条件

image.png 

60°C 短路条件下,组件正面暴露于120kWh/m² UV(280 - 400nm)。总UV剂量相当于 1 - 2 年的户外暴露量(具体取决于位置)。UVID 测试设置符合 IEC61215:2021 MQT10 要求,使用金属卤化物灯UVB含量在3-9% 范围内。

 


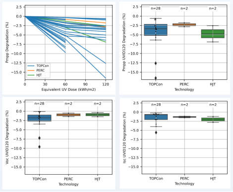
功率降解情况分析

image.png 

整体功率损失范围

UVID - 120 后功率损失从0.6%到16.6% 不等。这一数据显示出不同组件在 UVID 测试后的功率损失差异较大,反映了组件对 UVID 的敏感性存在差异以及不同组件的抗降解能力不同。

TOPCon 组件的功率降解情况:

超过 50% 的 TOPCon 组件呈现出功率降解>5%/年,这表明 TOPCon组件在 UVID 影响下功率降解较为明显,是需要重点关注和研究解决的问题。

受影响参数分析:

Voc是受影响最大的参数,归因于钝化损失;其次是 Isc 和 FF。在性能良好的组件中,Isc 损失最小。这种参数受影响的差异为深入研究 UVID 降解机制和改进组件性能提供了重要的线索和方向。

 



应对 UVID 的措施及进展

紫外线会影响 TOPCon 电池钝化层,光伏制造商正在积极寻求处理方法以减轻这种影响。通过遵循 IEC61215:2021 MQT10 对紫外线检测标准和程序,部分制造商似乎已经在一定程度上控制了 UVID。

 

确保 TOPCon 组件 UVID 的最佳方法之一是通过 UV 测试,这有助于筛选出性能优良的组件,提高产品的可靠性和稳定性,以满足市场对高质量光伏组件的需求。

 



美能UV紫外老化试验箱

image.png 

联系电话:400 008 6690

 

美能UV紫外老化试验箱,通过模拟不同光照情况来监控组件在光照下产生的变化,可用于光伏组件产品开发和质量把控或评估组件组成后耐用性的变化试验。

n辐照强度:150-250W/㎡(可定制500-1000W/㎡超级紫外)

nUVB含量:3%-9%

n光谱范围:280-400nm

通过紫外线(UV)老化测试,为整个光伏行业在应对 UVID 问题上提供了有益的经验和借鉴,推动行业不断改进技术和提高产品质量。美能UV紫外老化试验箱,能够详细评估组件在长期环境暴露后的稳定性,还能为产品开发和质量控制提供关键数据。


希望了解更多? 请联系我们

要获取有关这些故事或美能集团的详细信息,请与我们联系。

请联系我们

相关产品

业务咨询

快速交付与全面支持

通过现场操作指导和售后技术支持,为客户提供从产品到生产线运行的全程支持

企业介绍 招贤纳士 隐私声明 条款

苏ICP备2020061695号-5 版权所有 © 2026 江苏美能测试集团有限公司
×

名字 *

公司

职称

电子邮件 *

电话号码 *

城市 *

国家

请选择产品

我有兴趣接受有关以下内容的信息 *

我的留言

提交