美能光伏科普 | 带您深入了解ITO薄膜的方阻与影响方阻的因素
在太阳能电池的沉积工艺中,制备高性能的ITO薄膜是其首要任务。电池厂商在制备ITO薄膜时,往往需要考虑自身的方阻与影响ITO薄膜方阻的因素,从而在了解的基础上更好的解决对ITO薄膜方阻有不利影响的因素,提升对其有利的影响因素,从而生产高质量的太阳能电池。「美能光伏」为帮助电池厂商科学了解ITO薄膜方阻,生产了美能四探针电阻测试仪,该设备可对太阳能电池中ITO薄膜的方阻和电阻率进行精密检测,从而帮助电池厂商在了解太阳能电池薄膜的基础上,进行后续的高效生产并投入使用!今日,小美将给您科普ITO薄膜的方阻与影响方阻的因素!

ITO薄膜的方阻
ITO薄膜是一种透明导电膜,主要由氧化铟和氧化锡组成,广泛应用于光伏行业。ITO薄膜的方阻是一个正方形的ITO薄膜边到边之间的电阻值,它是衡量ITO薄膜导电性能的一个重要参数,也是影响ITO薄膜透光率和光电转换率的一个重要因素。
ITO薄膜的方阻的概念和计算方法
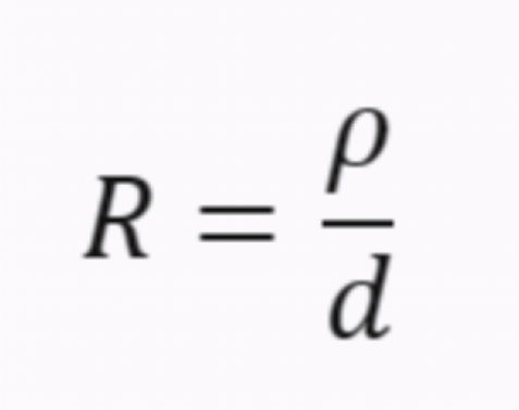
ITO薄膜的方阻是指一个正方形的ITO薄膜边到边之间的电阻值,它与ITO薄膜的电阻率和膜厚有关,可以用公式表示出:

其中,R是方阻,单位是欧姆/方,ρ是电阻率,单位是欧姆.米;d是膜厚,单位是米。由公式可以看出,为了获得较低的方阻,需要获得较低的电阻率和较大的膜厚。方阻的计算方法在ITO薄膜上用四探针测量电阻值,然后根据膜厚和正方形的边长计算出方阻值。
![]()
ITO薄膜的方阻和影响因素
ITO薄膜的方阻受到众多因素的影响,主要包括一下几个方面。
ITO薄膜的成分:ITO薄膜的成分主要是氧化铟和氧化锡的比例,一般为9:1。氧化锡的作用是提供载流子,增加ITO薄膜的导电性,但过多的氧化锡会导致晶格畸变,降低ITO薄膜的结晶性,从而增加电阻率。因此,需要在保证导电性的同时,控制氧化锡的含量,一般在5%~15%之间。

ITO薄膜的沉积工艺:ITO薄膜的沉积工艺主要包括沉积方法、沉积温度、沉积速率、沉积气氛等。不同的沉积方法会影响ITO薄膜的结构、形貌、取向等,从而影响电阻率。一般来说,溅射法、蒸发法、化学气相沉积法都能用来制备ITO薄膜,但溅射法是最常用的一种方法,因为它可以得到较高的沉积速率和较均匀的膜层。
沉积温度会影响ITO薄膜的结晶程度和晶粒大小,一般来说,较高的沉积温度有利于提高ITO薄膜的结晶性和晶粒大小,从而降低电阻率,但过高的沉积温度也会导致膜层的应力和缺陷增加,从而增加电阻率。因此,需要根据不同的基底材料和沉积方法选择合适的沉积温度,一般在100℃~500℃之间。
沉积速率会影响ITO薄膜的密度和孔隙率,较低的沉积速率有利于提高ITO薄膜的密度和孔隙率,从而降低电阻率,但过低的沉积速率也会降低生产效率和成本效益。因此,需要根据不同的沉积方法选择合适的沉积速率,一般在1nm/s~10nm/s之间。
![]()
美能四探针电阻测试仪

商务联系:张经理 400-008-6690
美能四探针电阻测试仪可以对最大230mm的样品进行快速、自动的扫描,获得样品不同位置的方阻/电阻率分布信息,可广泛应用于光伏、半导体、合金、陶瓷等诸多领域。
● 超高测量范围,测量0.1MΩ~100MΩ
● 高精密测量,动态重复性可达0.2%
● 全自动多点扫描,多种预设方案亦可自定义调节
● 快速材料表征,可自动执行校正因子计算
沉积气氛会影响ITO薄膜的氧含量和氧空位,通常而言,较高的氧分压会增加ITO薄膜的氧含量,从而降低载流子浓度和电阻率,但过高的氧分压也会导致ITO薄膜的透光率降低和光吸收增加。因此,需要根据不同的沉积方法选择合适的氧分压。
ITO薄膜的方阻与电阻率作为影响太阳能电池性能的重要因素,一直都被电池厂商所着重关注。电池厂商通常要在完成太阳能电池ITO薄膜沉积工艺后根据独特的检测设备来评估其沉积工艺的质量是否符合产业化标准。美能四探针电阻测试仪可以帮助电池厂商更便捷、高效、科学的评估ITO薄膜性能,逐一表征各个电池中ITO薄膜的方阻参数,从而助力其高效生产!